Este site usa cookies para garantir que você obtenha a melhor experiência. Leia mais
Boa Noite Bem-Vindo a Freenote, Login ou Crie sua conta
Este site usa cookies para garantir que você obtenha a melhor experiência. Leia mais
Boa Noite Bem-Vindo a Freenote, Login ou Crie sua conta
Standards de Jazz no formato fake book (melodia e cifras) para instrumentos em Bb, incluindo: All Blues • Au Privave • Autumn Leaves • Black Orpheus • Bluesette • Body and Soul • Bright Size Life • Con Alma • Dolphin Dance • Don't Get Around Much Anymore • Easy Living • Epistrophy • Falling in Love with Love • Footprints • Four on Six • Giant Steps • Have You Met Miss Jones? • How High the Moon • I'll Remember April • Impressions • Lullaby of Birdland • Misty • My Funny Valentine • Oleo • Red Clay • Satin Doll • Sidewinder • Stella by Starlight • Take Five • There Is No Greater Love • Wave • e muito mais!
Hal Leonard
Sinopse Original:
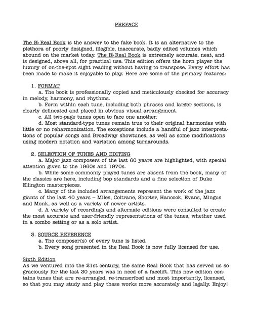
The Real Books are the best-selling jazz books of all time. Since the 1970s, musicians have trusted these volumes to get them through every gig, night after night. The problem is that the books were illegally produced and distributed, without any regard to copyright law, or royalties paid to the composers who created these musical masterpieces.
Hal Leonard is very proud to present the first legitimate and legal editions of these books ever produced. You won't even notice the difference, other than all the notorious errors being fixed: the covers and typeface look the same, the song list is nearly identical, and the price for our edition is even cheaper than the original! Every conscientious musician will appreciate that these books are now produced accurately and ethically, benefitting the songwriters that we owe for some of the greatest tunes of all time!
Músicas:
'Round Midnight
(I Love You) For Sentimental Reasons
(Old Man From) The Old Country
500 Miles High
502 Blues
A Child Is Born
A Fine Romance
A Man And A Woman (Un Homme Et Une Femme)
A Night In Tunisia
A String Of Pearls
A Sunday Kind Of Love
African Flower (Petite Fleur Africaine)
Afro Blue
Afternoon In Paris
Água De Beber (Water To Drink)
Airegin
Alfie
Alice In Wonderland
All Blues
All By Myself
All Of Me
All Of You
All The Things You Are
Alright, Okay, You Win
Always
Ana Maria
Angel Eyes
Anthropology
Apple Honey
April In Paris
April Joy
Arise, Her Eyes
Armageddon
Au Privave
Autumn In New York
Autumn Leaves
Beautiful Love
Beauty And The Beast
Bessie's Blues
Bewitched
Big Nick
Black Coffee
Black Diamond
Black Narcissus
Black Nile
Black Orpheus
Blue Bossa
Blue In Green
Blue Monk
Blue Train (Blue Trane)
Blues For Alice
Bluesette
Body And Soul
Boplicity (Be Bop Lives)
Bright Size Life
Broad Way Blues
Broadway
But Beautiful
Butterfly
Byrd Like
C'est Si Bon (It's So Good)
Call Me
Call Me Irresponsible
Can't Help Lovin' Dat Man
Captain Marvel
Central Park West
Ceora
Chega De Saudade (No More Blues)
Chelsea Bells
Chelsea Bridge
Cherokee (Indian Love Song)
Cherry Pink And Apple Blossom White
Chippie
Chitlins Con Carne
Come Sunday
Como En Vietnam
Con Alma
Conception
Confirmation
Contemplation
Coral
Cotton Tail
Could It Be You
Countdown
Crescent
Crystal Silence
D Natural Blues
Daahoud
Dancing On The Ceiling
Darn That Dream
Day Waves
Days And Nights Waiting
Dear Old Stockholm
Dearly Beloved
Dedicated To You
Deluge
Desafinado
Desert Air
Detour Ahead
Dexterity
Dizzy Atmosphere
Django
Doin' The Pig
Dolores
Dolphin Dance
Domino Biscuit
Don't Blame Me
Don't Get Around Much Anymore
Donna Lee
Dream A Little Dream Of Me
Dreamsville
E.S.P.
Easter Parade
Easy Living
Easy To Love (You'd Be So Easy To Love)
Ecclusiastics
Eighty One
El Gaucho
Epistrophy
Equinox
Equipoise
Fall
Falling Grace
Falling In Love With Love
Fee-Fi-Fo-Fum
Follow Your Heart
Footprints
For All We Know
For Heaven's Sake
Forest Flower
Four
Four On Six
Freddie Freeloader
Freedom Jazz Dance
Full House
Gee Baby, Ain't I Good To You
Gemini
Giant Steps
Gloria's Step
God Bless' The Child
Golden Lady
Good Evening Mr. And Mrs. America
Grand Central
Groovin' High
Grow Your Own
Guilty
Gypsy In My Soul
Half Nelson
Have You Met Miss Jones?
Heaven
Heebie Jeebies
Hello, Young Lovers
Here's That Rainy Day
Hot Toddy
House Of Jade
How High The Moon
How Insensitive (Insensatez)
How My Heart Sings
Hullo Bolinas
I Can't Get Started With You
I Can't Give You Anything But Love
I Could Write A Book
I Got It Bad And That Ain't Good
I Let A Song Go Out Of My Heart
I Love Paris
I Love You
I Mean You
I Remember Clifford
I Should Care
I Wish I Knew How It Would Feel To Be Free
I'll Never Smile Again
I'll Remember April
I'm All Smiles
I'm Beginning To See The Light
I'm Your Pal
Icarus
If You Never Come To Me (Inutil paisagem)
Impressions
In A Mellow Tone
In A Sentimental Mood
In The Mood
In The Wee Small Hours Of The Morning
In Your Quiet Place
Indian Lady
Inner Urge
Interplay
Invitation
Iris
Is You Is, Or Is You Ain't (Ma' Baby)
Isn't It Romantic?
Isotope
Israel
It Don't Mean A Thing (If It Ain't Got That Swing)
It's Easy To Remember
Jelly Roll
Jordu
Journey To Recife
Joy Spring
Juju
Jump Monk
June In January
Just One More Chance
Kelo
Lady Bird
Lady Sings The Blues
Lament
Las Vegas Tango
Lazy Bird
Lazy River
Like Someone In Love
Limehouse Blues
Lines And Spaces
Litha
Little Boat
Little Waltz
Long Ago (And Far Away)
Lonnie's Lament
Look To The Sky
Love Is The Sweetest Thing
Lucky Southern
Lullaby Of Birdland
Lush Life
Mahjong
Maiden Voyage
Man In The Green Shirt
Meditation (Meditacao)
Memories Of Tomorrow
Michelle
Midnight Mood
Midwestern Nights Dream
Milano
Minority
Miss Ann
Missouri Uncompromised
Misty
Miyako
Moment's Notice
Mood Indigo
Moonchild
Mr. P.C.
My Buddy
My Favorite Things
My Foolish Heart
My Funny Valentine
My One And Only Love
My Romance
My Shining Hour
My Ship
My Way
Mysterious Traveller
Naima (Niema)
Nardis
Nefertiti
Never Will I Marry
Nica's Dream
Night Dreamer
Night Train
Nobody Knows You When You're Down And Out
Nostalgia In Times Square
Nuages
Oleo
Oliloqui Valley
Once I Loved (Amor Em Paz) (Love In Peace)
Once In Love With Amy
One Finger Snap
One Note Samba (Samba De Uma Nota So)
Only Trust Your Heart
Orbits
Ornithology
Out Of Nowhere
P.S. I Love You
Paper Doll
Passion Dance
Passion Flower
Peace
Peggy's Blue Skylight
Pent Up House
Penthouse Serenade
Peri's Scope
Pfrancing (No Blues)
Pinocchio
Pithecanthropus Erectus
Portsmouth Figurations
Prelude To A Kiss
Prince Of Darkness
Pussy Cat Dues
Quiet Nights Of Quiet Stars (Corcovado)
Quiet Now
Recorda-Me
Red Clay
Reflections
Reincarnation Of A Lovebird
Ring Dem Bells
Road Song
Ruby, My Dear
Satin Doll
Scotch And Soda
Scrapple From The Apple
Sea Journey
Seven Come Eleven
Seven Steps To Heaven
Sidewinder
Silver Hollow
Sirabhorn
Skating In Central Park
So Nice (Summer Samba)
So What
Solar
Solitude
Some Day My Prince Will Come
Some Other Spring
Some Skunk Funk
Somebody Loves Me
Sometime Ago
Song For My Father
Sophisticated Lady
Speak No Evil
Standing On The Corner
Stella By Starlight
Steps
Stolen Moments
Stompin' At The Savoy
Straight No Chaser
Stuff
Sugar
Swedish Pastry
Sweet Georgia Bright
Sweet Henry
Take Five
Take The 'A' Train
Tame Thy Pen
Tell Me A Bedtime Story
Thanks For The Memory
That's Amore (That's Love)
The Blue Room
The Girl From Ipanema (Garota De Ipanema)
The Green Mountains
The Inch Worm
The Intrepid Fox
The Magician In You
The Most Beautiful Girl In The World
The Night Has A Thousand Eyes
The Saga Of Harrison Crabfeathers
The Song Is You
The Sorcerer
The Sphinx
The Star-Crossed Lovers
The Surrey With The Fringe On Top
The World Is Waiting For The Sunrise
There Is No Greater Love
There Will Never Be Another You
There'll Be Some Changes Made
They Didn't Believe Me
Think On Me
Thou Swell
Three Flowers
Time Remembered
Tones For Joan's Bones
Topsy
Tour De Force
Triste
Tune Up
Turn Out The Stars
Twisted Blues
Unchain My Heart
Uniquity Road
Unity Village
Up Jumped Spring
Upper Manhattan Medical Group (UMMG)
Valse Hot
Very Early
Virgo
Wait Till You See Her
Waltz For Debby
Wave
We'll Be Together Again
Well You Needn't (It's Over Now)
West Coast Blues
What Am I Here For?
What Was
When I Fall In Love
When Sunny Gets Blue
When You Wish Upon A Star
Whispering
Wild Flower
Windows
Witch Hunt
Wives And Lovers (Hey, Little Girl)
Woodchopper's Ball
Woodyn' You
Yes And No
Yesterday
Yesterdays
You Are The Sunshine Of My Life
You Are Too Beautiful
You Brought A New Kind Of Love To Me
You Don't Know What Love Is
You Took Advantage Of Me
You're Nobody 'til Somebody Loves You
Young At Heart







